欢迎来到苍南物流网!苍南物流信息化与商务门户龙头网站! 请登录 免费注册 忘记密码?
用户名: 密码: 验证码:
今天是:2025年10月07日 星期周二
当前位置 > 物流首页>物流资讯
刚刚!丽水交警动真格,这些车主全部被列入“黑名单”!
发布时间:2019/1/26 9:15:32 分类:新闻资讯 浏览:310

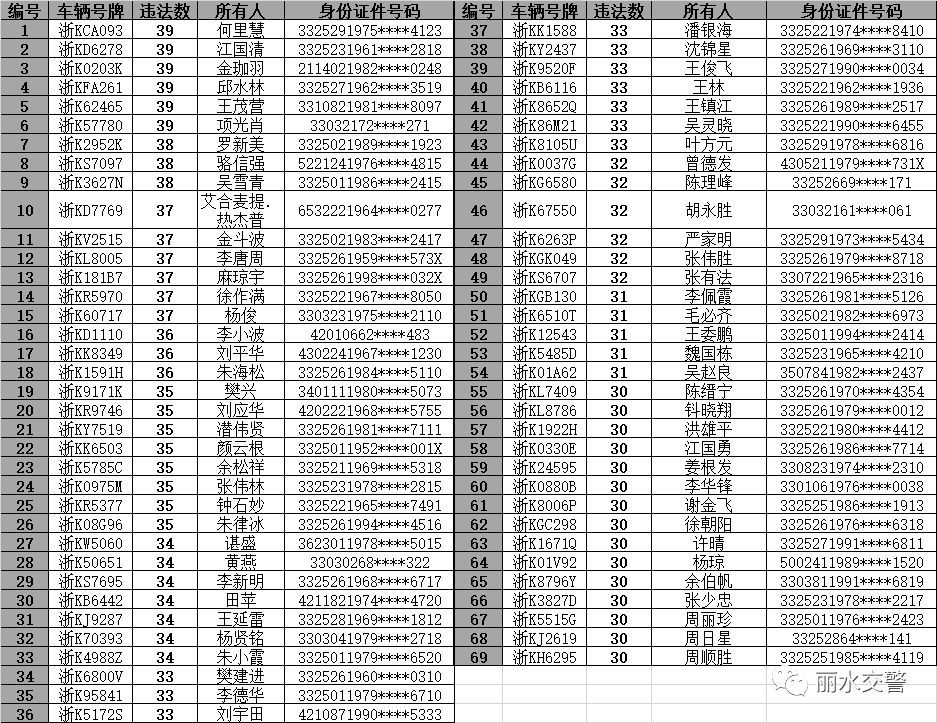
去年,423辆车因存在20条以上交通违法未处理被丽水交警通报,如果在规定时间内仍不处理,车主将会被列为失信人员的信息。那么,现在还有多少位车主没有去处理,被列为失信人员了呢?

到目前,已有140辆车消除了违法状态,有283位车主被列为了失信人员。其中:

企业9家

100条以上未处理12人

50-99条未处理46人

40-19条未处理29人

30-39条未处理69人

20-29条示处理118人

失信会有什么后果?

1、银行等金融机构对纳入“失信被执行人名单”的被执行人限制其贷款、融资等金融活动,降低信用卡额度,并将其存款情况及时通过司法查询平台报告法院;

2、工商管理部门对失信被执行人降低其信用等级,限制其“守信用、重合同”评比资格;

3、被执行人为国家机关或者公务员、中共党员、人大代表、政协委员等特殊主体的,根据有关规定在评优选先、晋职晋级等方面予以限制,或者取消其政治待遇、荣誉称号,直至给予纪律处分;

4、限制失信被执行人出境,铁路部门不向其出售火车票,民航部门不向其出售机票;

5、招标投标管理部门限制失信被执行人参加政府采购和工程项目招投标;

6、建设管理部门暂停受理失信被执行人的工程项目许可、资质审批,暂缓受理建筑市场相关业务事项,暂缓办理建设工程质量竣工验收备案等工作;规划管理部门对失信被执行人享有使用权的土地暂停办理规划报建手续、暂缓办理在建项目的后续规划手续;

7、其他限制。

失信后将对生活和工作带来诸多不便,希望这些车主尽快处理自己名下所有车辆的交通违法,尽快从失信人员名单中退出!更希望广大驾驶人,一定要遵守道路交通安全法律法规,安全行车、文明行车,不要加入到他们的行列。

苍南物流网(http://www.wz56w.com/),如有侵权可联系删除。如查找更多有关物流公司、线路信息,欢迎搜索关注“苍南物流网 龙港物流网”(cnthgg)微信公众号。

 

物流网推荐
  • 龙潮物流
  • 新疆

浙公网安备 33032702000212号